Intro to Chemical and Biological Engr
0.5
Site
What is Chemical and Biological Engineering?
Engineering problem solving
Teamwork
Dimensions
Units
Error and uncertainty
Process variables
Process Fundamentals
Material Balances
Reacting systems
Reaction kinetics
Reactor design
Bioreactors
Fluids and fluid flow
Mass transfer
Energy balances
Heat transfer
Heat exchangers
Mechanical energy balances
Process safety
Engineering ethics
Sustainability
Engineering in a global context
Page
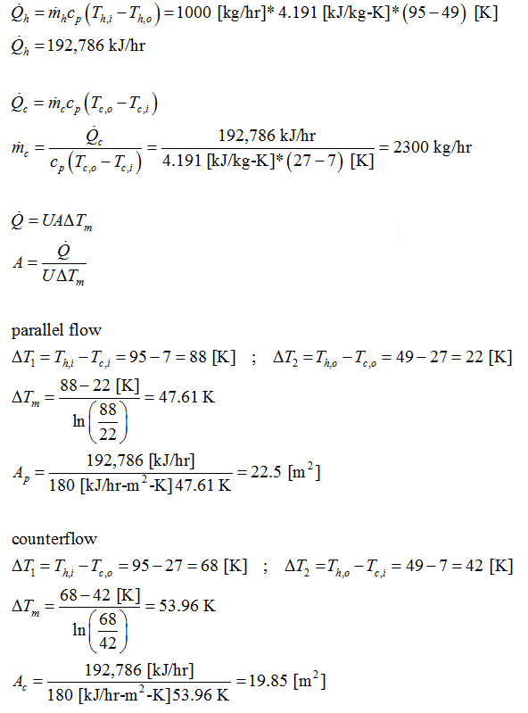
Exercise: Heat exchanger design
Exercise: Heat exchanger design
ΒΆ